Un circuit électrique de petites voitures électriques, une IA qui peut piloter une voiture et que l’on peut défier dans un concours de vitesse… C’est le projet DataRider, que nous préparons chez Orange Business. Nos capteurs sur un circuit collectent, en temps réel, des données de vitesse et de consommation électrique sur des petites voitures électriques. Le but est d’établir en temps réel un classement des pilotes, en déterminant les parcours les plus rapides d’une part, et les plus économes en consommation d’énergie d’autre part. Aujourd’hui, nous allons vous détailler notre démarche pour estimer la consommation électriques de ces petites voitures et voir les perspectives potentielles d’amélioration…
[Data Rider] Booster Mario Kart à l’IoT et à l’IA – Etape 1 : collecter les données IoT en temps réel
Lire aussiDans cet article, je vais vous présenter la troisième étape du projet de circuit de voitures IoT DataRider. Si vous ne les avez pas encore lus, je vous invite à découvrir les articles dédiés aux deux premières étapes, chacune contenant des détails sur différentes parties du projet :
- [Data Rider] Booster Mario Kart à l’IoT et à l’IA – Étape 1 : collecter les données IoT en temps réel
- [Data Rider] Booster Mario Kart à l’IoT et à l’IA – Étape 2 : la donnée en temps réel, du capteur au Dashboard
Un concours de vitesse
Le premier défi pour nos pilotes (nos joueurs et nos joueuses) est un concours de vitesse : il s’agit d’aller le plus vite possible pour faire un tour. Néanmoins, la vitesse doit rester contrôlée : aller trop vite risque de provoquer une sortie de piste dans les virages, tandis que trop de prudence risque de causer une chute dans le looping si la vitesse est trop faible.

Sur les 2 minutes de jeu, nous retenons les 10 meilleurs tours complets. Nous calculons ensuite la vitesse moyenne et le temps moyen par tour, sur ces 10 meilleurs tours. Cela est possible grâce à huit capteurs de position à effet Hall, aussi appelés « portes », qui jalonnent le circuit. Les portes détectent le passage des voitures et indiquent le timestamp associé.

Sur les 5 mètres de circuit à parcourir, nos volontaires les plus habiles ont obtenu un temps moyen de 1.9 secondes pour faire un tour, et une vitesse moyenne de 9.5 km/h.
Ces pilotes ont largement battu la première version simplifiée de l’IA, qui, elle, se déplace à une vitesse moyenne de 5.4 km/h soit 3.3 secondes par tour. La voiture-IA est pilotée par une main mécanique qui appuie sur une des manettes de jeu.


En parallèle du concours de vitesse, nous avons voulu élaborer un autre mode de jeu autour de l’écoconduite. Cela a tout d’abord nécessité la mise en place d’une méthode de calcul de l’énergie consommée, présentée dans la section suivante.
Calcul de la consommation des petites voitures électriques
Consommation électrique
En chaque instant (la durée des instants est de l’ordre de la milliseconde), nous pouvons collecter, via la carte Arduino Mega, la tension aux bornes de la voiture et l’intensité qui la traverse. La multiplication de la tension et de l’intensité donne la puissance électrique en cet instant, en Watt.

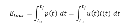
L’énergie électrique dépensée pendant un tour est alors :

Avec :
t0 l’instant où le tour commence (passage devant la porte 1),
tf l’instant où le tour se termine (à nouveau, passage devant la porte 1).
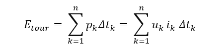
N’ayant pas accès à des intervalles de temps infinitésimaux, et nous réécrivons la formule en considérant la tension et l’intensité sur les petits intervalles de temps Δtk de mesure :

Précisions sur la mesure de l’intensité
La fonction Arduino qui renvoie la mesure de l’intensité est coûteuse en temps de calcul car elle prend la moyenne de plusieurs points de mesure avant de retourner un résultat. (Ce problème n’est pas présent pour la captation de la tension qui peut facilement être renvoyée de façon brute.)
En conséquence, capter l’intensité engendre un allongement de l’intervalle de temps moyen Δtk d’envoi des données par la carte Arduino. Il devient souvent supérieur à quelques millisecondes, et cela nous fait manquer de nombreux signaux de passage de portes, car une voiture passe en quelques millisecondes devant une porte.
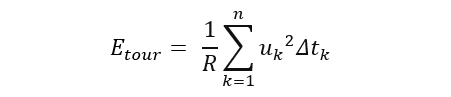
Nous avons donc décidé de ne pas mesurer l’intensité pendant les parties, mais de la retrouver grâce à la loi d’Ohm (u = Ri), où R est la résistance de la voiture.
Notons que cette loi d’Ohm est exacte quand le dipôle considéré est purement résistif. Or, les petites voitures comprennent aussi des effets inductifs et capacitifs. En conséquence, notre modélisation des voitures par des résistances est une approximation. Un axe d’investigation futur sera d’affiner la modélisation électrique de la voiture.
La formule que nous utilisons pour trouver l’énergie est finalement une combinaison des trois formules classiques P= UI, ΔE=PΔt et U =RI:

Le calcul de l’énergie ne dépend donc plus directement de l’intensité, mais seulement des mesures de tension, de temps et de position.
Intervalles de temps utilisés
Quels intervalles de temps choisir pour réaliser la somme dans l’équation précédente ? Le choix le plus précis et le plus intuitif serait d’utiliser directement les Δtk du jeu de données.
Néanmoins, les données de tension, renvoyées de façon brute, présentent de grandes incertitudes de mesures et doivent être moyennées ou filtrées pour produire des résultats réellement représentatifs.
Nous décidons donc de calculer l’énergie par tronçon de circuit (un tronçon étant représenté par la distance entre deux portes). Comme parcourir un tronçon demande quelques dixièmes de seconde, cela donne de bons résultats : la valeur de la tension, renvoyée environ tous les millièmes de secondes, est beaucoup plus cohérente une fois moyennée au dixième de seconde sur les tronçons.
L’énergie dépensée sur un tronçon est la suivante :

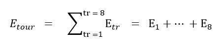
Pour retrouver l’énergie d’un tour, il suffit de sommer l’énergie trouvée sur chacun des huit tronçons :

Inconvénients de sommer par tronçon
Sommer par tronçon est moins précis qu’un calcul qui sommerait directement sur de très petits intervalles de temps. Nos valeurs de consommation énergétique pourraient donc être affinées.
Avantages de sommer par tronçon
Cela améliore les valeurs de tension utilisées car elles ont été moyennées sur les tronçons. Et cela reste un niveau de précision assez précis, plus précis qu’un calcul qui utiliserait directement la tension moyennée sur le tour, par exemple.
De plus, cela a pour conséquence de diminuer les nombres de calculs à effectuer sur la chaîne de traitement des données. Il est en effet plus économique de moyenner la tension et d’appliquer une seule fois par tronçon la relation Etr = ((umoy)2/R) Δtk que d’appliquer la relation n (≃ 250) fois par tronçon pour ensuite sommer. Pour agréger nos données plus efficacement et pour afficher des statistiques aux joueurs en temps réel, tout gain de temps est intéressant.
Enfin, calculer l’énergie de cette façon présente l’avantage de fournir des statistiques de dépense énergétique par section de circuit (exemple : pour la section avec le looping, pour les virages, pour les lignes droites…) et de pouvoir les présenter aux joueurs.
💡 Résumé de la collecte de données
1) Les voitures mettent quelques millisecondes à passer devant les capteurs de position à effet Hall. Il y a donc nécessité de mesurer des données environ toutes les millisecondes, sinon, le risque de manquer la détection des passages de portes est accru.
2) L’intensité a besoin d’un temps supérieur à quelques millisecondes pour être renvoyée par la carte Arduino : elle nous empêche de capter correctement les passages de portes. On supprime donc la captation de l’intensité, et on la retrouve par calcul.
3) On peut agréger les données par tronçon de circuit (un tronçon est une section entre deux portes) pour une valeur de tension plus fiable et pour un stockage et des calculs plus économes.
Résultats des calculs de consommation électrique
A titre d’exemple, si la tension en un instant t est de 10 V et l’intensité de 0.2 A,
la puissance électrique sera de : p(t) = 2W.
Si après avoir fait la moyenne de la puissance en tous les instants du temps, on trouve également Pmoy = 2W, alors, sur un tour qui dure 2 s, cela donne une énergie consommée de 4 J = 1,1.10-6 kWh pour un tour de circuit. Cet ordre de grandeur est caractéristique de ce que l’on calcule avec les données collectées.

1,1.10-6 kWh, qu’est-ce que cela représente ? Approximativement l’énergie dépensée par une ampoule basse consommation (pour un même laps de temps considéré, de 2 secondes). Ces ampoules peuvent en effet fonctionner, pour les plus économes, avec une puissance de 3W (3W, cela est très proche de la consommation de 2W de nos voitures).
Afin de donner des illustrations plus concrètes de la consommation électrique, nous présentons dans la section suivante les émissions équivalent CO2 correspondantes.
Émissions en équivalent CO2
Nous avons déterminé l’énergie consommée en kWh (1,1.10-6 kWh pour un tour de circuit). Nous cherchons maintenant à savoir la quantité de CO2 qui est produite pour fournir ces kWh.
Produire l’énergie électrique nécessite des infrastructures telles que des centrales nucléaires, des centrales hydrauliques, d’autres sources d’énergie… Chaque pays possède son propre mix électrique et il n’existe donc pas de constantes universelles établissant le lien : X kWh (électriques) = Y g de CO2.
Nous nous référons en conséquence aux chiffres français donnés par l’ADEME (Agence de l’environnement et de la maîtrise de l’énergie. Il faut créer un compte gratuit pour avoir accès au lien). La valeur retenue est celle de 2022 : 52 gCO2eq/kWh. C’est la donnée la plus récente disponible sur le site. Même si cette donnée date de deux ans, les variations entre les années sont faibles et nous avons en conséquence un bon ordre de grandeur pour nos calculs. Qui plus est, les données d’émissions carbone fournies par l’ADEME sont intéressantes car elles sont consolidées et prennent en compte « l’amont des combustibles, l’amortissement de la centrale et les émissions annexes de fonctionnement » (onglet « informations générales » du lien) et non pas seulement les émissions carbone « brutes » de l’électricité qui arrive dans nos prises électriques.

Ces données permettent d’établir qu’une petite voiture électrique a besoin d’environ 57,2 µg d’équivalent CO2 pour réaliser un tour de circuit.
On note que les chiffres d’émission de CO2eq/kWh de la France font partie des plus bas du monde : cela est lié à la présence majoritaire de l’énergie nucléaire, puis des EnR, dans le mix électrique français.
Comparaisons à la consommation électrique du système global
Quels sont les éléments présents dans la chaîne d’acquisition et de traitement des données ? Nous avons :
- Deux voitures qui roulent sur le circuit. Le circuit et les voitures sont branchés sur une même alimentation qui peut fournir jusqu’à 10.36W (14.8V et 0.7 A) ;
- Une carte Arduino Mega (pour la captation de données). Son alimentation peut fournir jusqu’à 18W (9V et 2A) ;
- Un Raspberry Pi et une main mécanique. L’alimentation de l’ensemble peut fournir jusqu’à 12.75W (5.1V et 2.5A) ;
- Un ordinateur de modèle Lenovo T560, qui consomme entre 25 et 32 W en forte sollicitation [1].

On constate que le circuit de voitures est un élément parmi d’autres en termes de consommation énergétique. La carte Arduino, le Raspberry Pi (associé à la main mécanique) et le traitement des données en temps réel par l’ordinateur sont également des composants à prendre en compte. Un de nos objectifs futurs est ainsi d’approfondir notre compréhension des opérations les plus couteuses en énergie dans notre chaîne de données.
Conclusion
Dans cet article, nous avons présenté notre méthode pour établir la consommation électrique par pilote et par partie de jeu, et nous avons trouvé le résultat caractéristique de 57.2 microgrammes équivalent CO2 par petite voiture pour un tour.
Il est important de noter que notre calcul se concentre uniquement, et de façon intentionnelle, sur l’énergie dépensée par le mouvement mécanique des voitures quand elles réalisent des tours de circuit.
Cette approche spécifique nous permet d’offrir une perspective claire et directe de la consommation électrique pendant le jeu et nous permet d’atteindre notre objectif : fournir un classement des pilotes en fonction de leur consommation électrique / consommation d’équivalent CO2 pendant les parties.
Pour une analyse plus exhaustive de l’empreinte carbone, une étude devrait inclure les phases en amont (émissions générées par la fabrication, l’extraction des matières premières et le transport des équipements) et en aval (émissions liées à la fin de vie des produits : recyclage, incinération, mise en décharge ou autres méthodes de traitement des déchets) du cycle de vie du système (circuit, cartes Arduino, ordinateurs, …), en amortissant sur la durée de vie des équipements. Pour plus de détails sur l’empreinte carbone des projets, nous vous invitons à consulter l’article : Bilan Carbone : nos résultats après 6 mois d’expérimentation.
🙏 Un grand merci à François-Xavier Suire, Jean-Christophe Roy, David Dezere et Freddy Garry, qui ont permis de mettre en place et développer des aspects cruciaux tels que le prototypage, l’IoT, et bien plus encore. Remerciements particuliers à Damien Mathieu pour son aide et pour le temps consacré à la création de la main mécanique. Merci bien sûr à Cédric Le Penmelen pour ses développements et pour la gestion quotidienne de l’ensemble ! Merci enfin à Florian Paucod pour sa relecture et ses précisions sur l’empreinte carbone.
[1] Courte critique de l’Ultrabook Lenovo ThinkPad T560 (Core i5, SSHD) – Notebookcheck.fr
Commentaire (0)
Votre adresse de messagerie est uniquement utilisée par Orange Business, responsable de traitement, aux fins de traitement de votre demande et d’envoi de toute communication de Orange Business en relation avec votre demande uniquement. En savoir plus sur la gestion de vos données et vos droits.